Primăria Foeni,
județul Timiș

Harta
  • Acasă
  • Știri / Anunțuri
  • Galerie Foto
  • Galerie video
  • Contact
  • Monitorul Oficial Local
  • Politica de confidențialitate
  • Primaria
    • Program cu publicul
    • Structura
    • Urbanism
    • Starea civila
    • Acte si formulare
    • Taxe si impozite
    • Asistență socială
    • Vânzări terenuri
  • Consiliul local
    • Consiliul local
  • Despre localitate
    • Informatii generale
    • Sate
    • Vizitatori website
    • Istorie
    • Cultură
    • Biserici
    • Educație
    • Transport
    • Sport
    • Adrese utile
    • Informații europene
    • Personalitati locale
  • Turism
    • Obiective
  • Economie
    • Informații economice
    • Firme
    • Proiecte, investiții
    • Târguri și expoziții
    • Organizații
    • Agricultură / Fond funciar/ Registru agricol
  • SVSU
    • Serviciul voluntar pentru situații de urgență
  • SPCLEP
    • Serviciul public comunitar local de evidență a persoanelor Otelec
  • Transparenta decizionala
    • Monitorul Oficial Local
    • Raport periodic Legea nr. 52/2003
    • RUTI
    • Legea nr. 52/2003 privind transparenţa decizională în administraţia publică
    • Formular pentru colectarea de propuneri, opinii, recomandări (cf. Legii nr. 52/2003)
    • Registrul pentru consemnare și analizarea propunerilor, opiniilor sau recomandărilor
    • Dezbateri publice
    • Rapoarte de aplicare a Legii nr. 52/2003
  • Informații de interes public
    • Solicitare informații. Legislație
    • Achiziții publice
    • Buletinul Informativ (Legea 544/2001)
    • Buget din toate sursele de venituri
    • Bilanțuri contabile
    • Info int publ încărcate până în dec 2021
    • Declarații de avere si interese
    • Anunturi angajari
    • Strategia de dezvoltare locala
    • Comisia paritară
    • Protecția datelor cu caracter personal
  • Despre instituţie
    • Legislație (organizarea și funcționarea instituției)
    • Conducere
    • Organizare
    • Programe și strategii
    • Rapoarte și studii
  • Integritate instituţională
    • Mecanismul de raportare a încălcărilor legii
    • Declarația privind asumarea unei agende de integritate organizațională
    • Raport narativ referitor la stadiul implementării măsurilor prevăzute în SNA, planul de integritate
    • Cod etic/deontologic/de conduită
    • Lista cadourilor primite
    • Planul de integritate al instituţiei
    • Situaţia incidentelor de integritate
  • Ghid pentru accesul publicului la informații de mediu
    • Ghidul autorităților publice pentru accesul publicului la informația de mediu
Harta

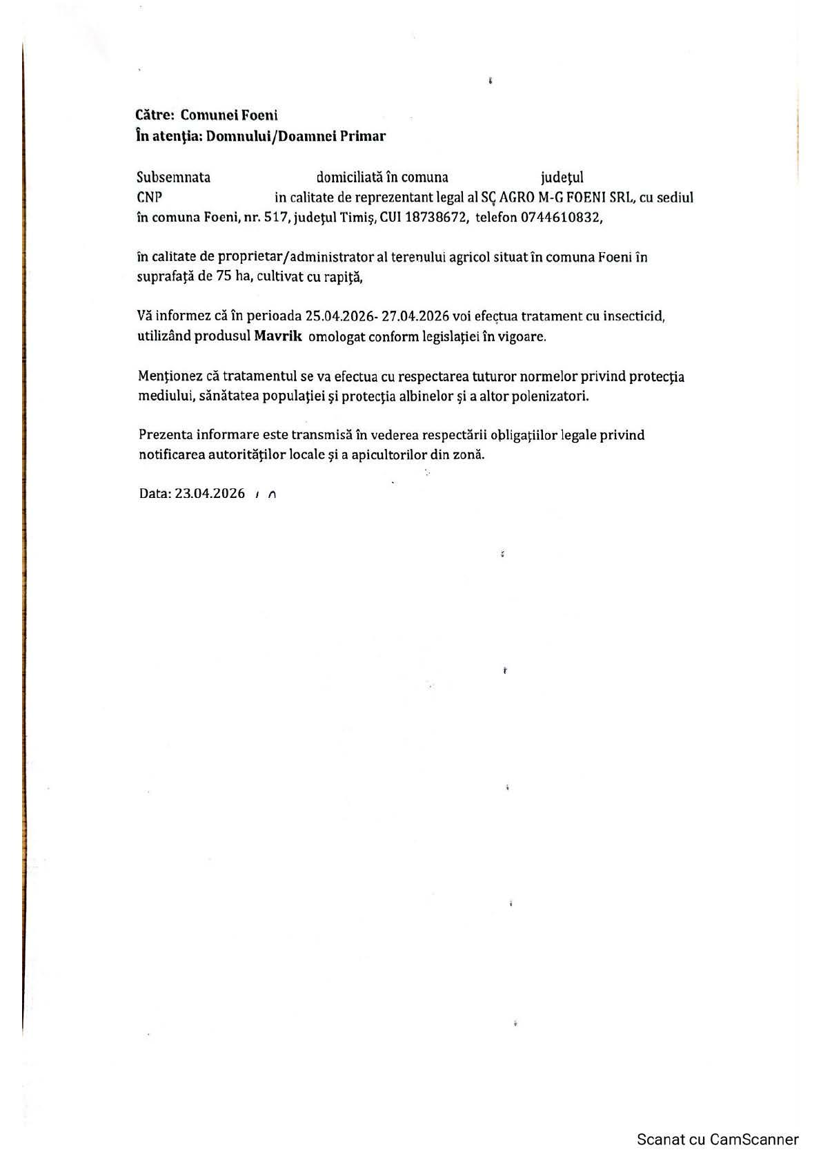
Notificare apicultori - tratament rapita

  • Notificare apicultori - tratament rapita

 


  • Politica de confidențialitate
  • Primaria
    • Program cu publicul
    • Structura
    • Urbanism
    • Starea civila
    • Acte si formulare
    • Taxe si impozite
    • Asistență socială
    • Vânzări terenuri
  • Consiliul local
    • Consiliul local
  • Despre localitate
    • Informatii generale
    • Sate
    • Vizitatori website
    • Istorie
    • Cultură
    • Biserici
    • Educație
    • Transport
    • Sport
    • Adrese utile
    • Informații europene
    • Personalitati locale
  • Turism
    • Obiective
  • Economie
    • Informații economice
    • Firme
    • Proiecte, investiții
    • Târguri și expoziții
    • Organizații
    • Agricultură / Fond funciar/ Registru agricol
  • SVSU
    • Serviciul voluntar pentru situații de urgență
  • SPCLEP
    • Serviciul public comunitar local de evidență a persoanelor Otelec
  • Transparenta decizionala
    • Monitorul Oficial Local
    • Raport periodic Legea nr. 52/2003
    • RUTI
    • Legea nr. 52/2003 privind transparenţa decizională în administraţia publică
    • Formular pentru colectarea de propuneri, opinii, recomandări (cf. Legii nr. 52/2003)
    • Registrul pentru consemnare și analizarea propunerilor, opiniilor sau recomandărilor
    • Dezbateri publice
    • Rapoarte de aplicare a Legii nr. 52/2003
  • Informații de interes public
    • Solicitare informații. Legislație
    • Achiziții publice
    • Buletinul Informativ (Legea 544/2001)
    • Buget din toate sursele de venituri
    • Bilanțuri contabile
    • Info int publ încărcate până în dec 2021
    • Declarații de avere si interese
    • Anunturi angajari
    • Strategia de dezvoltare locala
    • Comisia paritară
    • Protecția datelor cu caracter personal
  • Despre instituţie
    • Legislație (organizarea și funcționarea instituției)
    • Conducere
    • Organizare
    • Programe și strategii
    • Rapoarte și studii
  • Integritate instituţională
    • Mecanismul de raportare a încălcărilor legii
    • Declarația privind asumarea unei agende de integritate organizațională
    • Raport narativ referitor la stadiul implementării măsurilor prevăzute în SNA, planul de integritate
    • Cod etic/deontologic/de conduită
    • Lista cadourilor primite
    • Planul de integritate al instituţiei
    • Situaţia incidentelor de integritate
  • Ghid pentru accesul publicului la informații de mediu
    • Ghidul autorităților publice pentru accesul publicului la informația de mediu

Știri recente:

  • Apr 23

    Notificare apicultori - tratament rapita

  • Apr 16

    Notificare apicultori - tratament rapita

  • Apr 8

    Anunt colectare deseuri menajere in perioada sarbatorilor Pascale 2026

  • Mar 30

    Buletine de avertizare fitosanitara nr. 2/26.03.2026 si nr.3/27.03.2026

  • Mar 27

    Invitatie intalnire publica de lucru GAL Asociatia Timis Torontal Barzava

Vezi toate știrile


Informații Utile

Adresa: Judetul Timiș, Comuna Foeni, Localitatea Foeni nr. 381
Email: contact@primariafoenitm.ro
Telefon: 0256-413401, 0256-413412
Fax: 0256 413 606
Cod poștal: 307175

Vizitatori: 1053372

ecomune
  • Acasă
  • Știri / Anunțuri
  • Galerie Foto
  • Galerie video
  • Contact
  • Monitorul Oficial Local

Primăria Foeni | județul Timiș | Dezvoltat de iStorm.ro